Arid Land Geography ›› 2026, Vol. 49 ›› Issue (2): 301-315.doi: 10.12118/j.issn.1000-6060.2025.204
• Ecology and Environment • Previous Articles Next Articles
PEI Ruoying1,2(
), CAO Shengkui1,2,3(
), HOU Yaofang1,2, LEI Yizhen1,2, WANG Jiang1,2, LIU Zhenmei1,2, DING Chenshen1,2
Received:2025-04-14
Revised:2025-06-16
Online:2026-02-25
Published:2026-02-27
Contact:
CAO Shengkui
E-mail:peiruoying2001@163.com;caoshengkui@163.com
PEI Ruoying, CAO Shengkui, HOU Yaofang, LEI Yizhen, WANG Jiang, LIU Zhenmei, DING Chenshen. Spatial distribution pattern of grassland vegetation biomass in the Qinghai Lake Basin[J].Arid Land Geography, 2026, 49(2): 301-315.
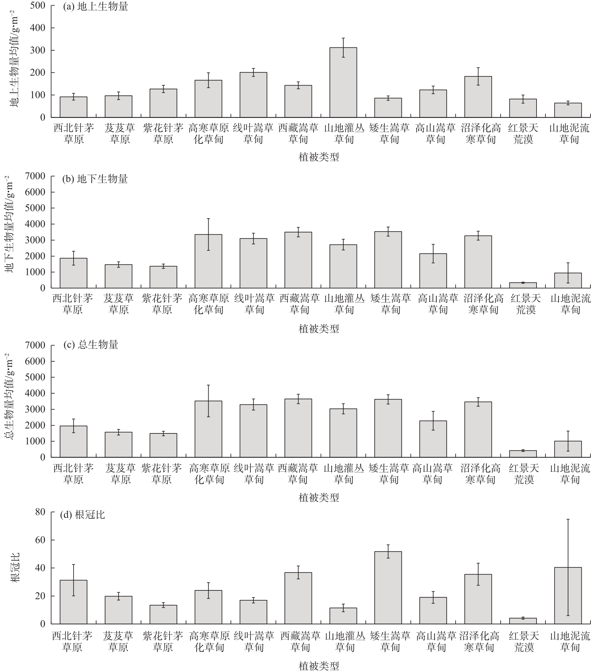
Tab. 1
Statistics of aboveground and belowground biomass, as well as root-to-shoot ratios of grasslands vegetation in the Qinghai Lake Basin"
| 指标 | 最大值 | 最小值 | 平均值 | 标准差 | 中值 |
|---|---|---|---|---|---|
| 地上生物量/g·m-2 | 489.20 | 28.53 | 141.41 | 96.82 | 109.47 |
| 地下生物量/g·m-2 | 7690.49 | 212.31 | 2787.19 | 1649.18 | 2465.20 |
| 总生物量/g·m-2 | 7778.89 | 314.09 | 2928.53 | 1661.50 | 2729.98 |
| 根冠比 | 119.66 | 1.55 | 29.93 | 25.23 | 20.75 |
Tab. 2
Effects of influencing factors on aboveground and belowground biomass of grassland vegetation in the Qinghai Lake Basin"
| 影响因素 | 总效益 | 直接效益 | 间接效益 | |||||
|---|---|---|---|---|---|---|---|---|
| 地上生物量 | 地下生物量 | 地上生物量 | 地下生物量 | 地上生物量 | 地下生物量 | |||
| 地表温度 | -0.05 | -0.28 | - | -0.22 | -0.05 | -0.06 | ||
| 降水量 | 0.36 | 0.07 | 0.22 | - | 0.15 | 0.07 | ||
| 土壤含水量 | 0.22 | 0.21 | - | -0.20 | 0.22 | 0.41 | ||
| 土壤容重 | -0.31 | -0.59 | -0.10 | -0.59 | -0.21 | - | ||
| 生态系统碳利用效率 | -0.44 | - | -0.44 | - | - | - | ||
| [1] | Ma H Z, Mo L D, Crowther T W, et al. The global distribution and environmental drivers of aboveground versus belowground plant biomass[J]. Nature Ecology & Evolution, 2021, 5: 1110-1122. |
| [2] | Dong S K, Li S, Xu Y D, et al. Different responses of alpine plants to natural climate change reduced coexistence through phenological niche overlap[J]. Science of the Total Environment, 2023, 892: 164522, doi: 10.1016/j.scitotenv.2023.164522. |
| [3] | 张俊怡, 刘廷玺, 罗艳云, 等. 半干旱草原型流域植被地上生物量时空分布特征及其影响因子[J]. 生态学杂志, 2020, 39(2): 364-375. |
| [Zhang Junyi, Liu Tingxi, Luo Yanyun, et al. Temporal and spatial distribution of aboveground biomass of vegetation and quantitative analysis of impact factors in semi-arid grassland basin[J]. Chinese Journal of Ecology, 2020, 39(2): 364-375.] | |
| [4] |
李康宁, 林伊琳, 赵俊三, 等. 三江源植被覆盖变化驱动机制及生态脆弱性分析[J]. 干旱区地理, 2025, 48(2): 283-295.
doi: 10.12118/j.issn.1000-6060.2024.324 |
|
[Li Kangning, Lin Yilin, Zhao Junsan, et al. Driving mechanisms of vegetation change and ecological vulnerability in the Three-River Headwater Region[J]. Arid Land Geography, 2025, 48(2): 283-295.]
doi: 10.12118/j.issn.1000-6060.2024.324 |
|
| [5] |
黄业芸, 邱开阳, 朱亚超, 等. 贺兰山不同海拔植被生物量与土壤分形特征和土壤水分的相关关系[J]. 草业学报, 2023, 32(12): 24-35.
doi: 10.11686/cyxb2023050 |
|
[Huang Yeyun, Qiu Kaiyang, Zhu Yachao, et al. Correlation between vegetation biomass and soil fractal characteristics and soil moisture at different elevations in the Helan Mountains[J]. Acta Prataculturae Sinica, 2023, 32(12): 24-35.]
doi: 10.11686/cyxb2023050 |
|
| [6] | 金云翔, 徐斌, 杨秀春, 等. 内蒙古锡林郭勒盟草原产草量动态遥感估算[J]. 中国科学: 生命科学, 2011, 41(12): 1185-1195. |
|
[Jin Yunxiang, Xu Bin, Yang Xiuchun, et al. Remote sensing dynamic estimation of grass production in Xilinguole, Inner Mongolia[J]. Scientia Sinica Vitae, 2011, 41(12): 1185-1195.]
doi: 10.1360/052011-228 |
|
| [7] | Garroutte E L, Hansen A J, Lawrence R L. Using NDVI and EVI to map spatiotemporal variation in the biomass and quality of forage for migratory elk in the Greater Yellowstone Ecosystem[J]. Remote Sensing, 2016, 8(5): 404, doi: 10.3390/rs8050404. |
| [8] |
Yan F, Wu B, Wang Y J. Estimating aboveground biomass in Mu Us Sandy Land using Landsat spectral derived vegetation indices over the past 30 years[J]. Journal of Arid Land, 2013, 5(4): 521-530.
doi: 10.1007/s40333-013-0180-0 |
| [9] | 陈哲, 汪浩, 王金洲, 等. 基于物候相机归一化植被指数估算高寒草地植物地上生物量的季节动态[J]. 植物生态学报, 2021, 45(5): 487-495. |
|
[Chen Zhe, Wang Hao, Wang Jinzhou, et al. Estimation on seasonal dynamics of alpine grassland aboveground biomass using phenology camera-derived NDVI[J]. Chinese Journal of Plant Ecology, 2021, 45(5): 487-495.]
doi: 10.17521/cjpe.2020.0076 |
|
| [10] | 高晓彤, 徐敏, 田海静, 等. 锡林郭勒盟草地地上生物量时空变化遥感诊断研究[J/OL]. 生态与农村环境学报. [2025-01-16].https://doi.org/10.19741/j.issn.1673-4831.2024.0877. |
| [Gao Xiaotong, Xu Min, Tian Haijing, et al. Remote sensing diagnosis of spatiotemporal changes in grassland above-ground biomass in Xilingol League[J/OL]. Journal of Ecology and Rural Environment. [2025-01-16]. https://doi.org/10.19741/j.issn.1673-4831.2024.0877.] | |
| [11] | Chen L, Ren C Y, Zhang B, et al. Estimation of forest above-ground biomass by geographically weighted regression and machine learning with sentinel imagery[J]. Forests, 2018, 9(10): 582, doi: 10.3390/f9100582. |
| [12] | 周景乐, 徐志高, 何旭升, 等. 草地地上生物量测量方法综述[J]. 中南林业调查规划, 2022, 41(2): 36-40. |
| [Zhou Jingle, Xu Zhigao, He Xusheng, et al. Review on methods of measuring grassland above-ground biomass[J]. Central South Forest Inventory and Planning, 2022, 41(2): 36-40.] | |
| [13] |
王婷, 周伟, 肖洁芸, 等. 基于遥感数据和机器学习算法的草地地上生物量估算研究[J]. 冰川冻土, 2023, 45(2): 753-762.
doi: 10.7522/j.issn.1000-0240.2023.0057 |
|
[Wang Ting, Zhou Wei, Xiao Jieyun, et al. Estimating the grassland aboveground biomass based on remote sensing data and machine learning algorithm[J]. Journal of Glaciology and Geocryology, 2023, 45(2): 753-762.]
doi: 10.7522/j.issn.1000-0240.2023.0057 |
|
| [14] |
芦光新, 陈秀蓉, 王军邦, 等. 气候变化对青藏高原高寒草地生态系统草丛-地境界面微生物的影响研究进展[J]. 草地学报, 2014, 22(2): 234-242.
doi: 10.11733/j.issn.1007-0435.2014.02.004 |
|
[Lu Guangxin, Chen Xiurong, Wang Junbang, et al. Research progresses on the effects of global change on the microbes of plant-site interface in alpine grassland ecosystem[J]. Acta Agrestia Sinica, 2014, 22(2): 234-242.]
doi: 10.11733/j.issn.1007-0435.2014.02.004 |
|
| [15] | Yang M X, Chen A, Zhang M, et al. Relationship between plant species diversity and aboveground biomass in alpine grasslands on the Qinghai-Tibet Plateau: Spatial patterns and the factors driving them[J]. Frontiers in Ecology and Evolution, 2023, 11: 1138884, doi: 10.3389/fevo.2023.1138884. |
| [16] | 张锦涛, 赵峰侠, 陈俊合, 等. 青藏高原不同类型高寒草地物种多样性与生物量的关系及影响要素[J]. 草业科学, 2023, 40(3): 616-626. |
| [Zhang Jintao, Zhao Fengxia, Chen Junhe, et al. Correlations of species diversity and biomass with environmental factors in alpine grasslands across the Qingzang Plateau[J]. Pratacultural Science, 2023, 40(3): 616-626.] | |
| [17] | 戴黎聪, 柯浔, 曹莹芳, 等. 青藏高原矮嵩草草甸地下和地上生物量分配格局及其与气象因子的关系[J]. 生态学报, 2019, 39(2): 486-493. |
| [Dai Licong, Ke Xun, Cao Yingfang, et al. Allocation patterns of above-and belowground biomass and its response to meteorological factors on an alpine meadow in Qinghai-Tibet Plateau[J]. Acta Ecologica Sinica, 2019, 39(2): 486-493.] | |
| [18] |
刘哲, 李奇, 陈懂懂, 等. 青藏高原高寒草甸物种多样性的海拔梯度分布格局及对地上生物量的影响[J]. 生物多样性, 2015, 23(4): 451-462.
doi: 10.17520/biods.2015043 |
|
[Liu Zhe, Li Qi, Chen Dongdong, et al. Patterns of plant species diversity along an altitudinal gradient and its effect on above-ground biomass in alpine meadows in Qinghai-Tibet Plateau[J]. Biodiversity Science, 2015, 23(4): 451-462.]
doi: 10.17520/biods.2015043 |
|
| [19] | 郝爱华, 薛娴, 尤全刚, 等. 基于BFAST模型的青藏高原典型草地植被变化特征[J]. 山西师范大学学报(自然科学版), 2024, 38(4): 42-52. |
| [Hao Aihua, Xue Xian, You Quangang, et al. Vegetation variation characteristics of typical grasslands on the Qinghai-Tibetan Plateau based on BFAST model[J]. Journal of Shanxi Normal University (Natural Science Edition), 2024, 38(4): 42-52.] | |
| [20] | 陈槐, 鞠佩君, 张江, 等. 青藏高原高寒草地生态系统变化的归因分析[J]. 科学通报, 2020, 65(22): 2406-2418. |
| [Chen Huai, Ju Peijun, Zhang Jiang, et al. Attribution analyses of changes in alpine grasslands on the Qinghai-Tibetan Plateau[J]. Chinese Science Bulletin, 2020, 65(22): 2406-2418.] | |
| [21] |
金哲人, 冯琦胜, 王瑞泾, 等. 基于MODIS数据与机器学习的青藏高原草地地上生物量研究[J]. 草业学报, 2022, 31(10): 1-17.
doi: 10.11686/cyxb2021386 |
|
[Jin Zheren, Feng Qisheng, Wang Ruijing, et al. A study of grassland aboveground biomass on the Tibetan Plateau using MODIS data and machine learning[J]. Acta Prataculturae Sinica, 2022, 31(10): 1-17.]
doi: 10.11686/cyxb2021386 |
|
| [22] | 张菊. 青藏高原高寒草地地上生物量反演及时空变化研究[D]. 成都: 成都理工大学, 2021. |
| [Zhang Ju. Estimation of alpine grassland aboveground biomass and its dynamics variations characteristics in the Qinghai-Tibet Plateau[D]. Chengdu: Chengdu University of Technology, 2021.] | |
| [23] |
Yan L, Li Y, Wang L, et al. Grazing significantly increases root shoot ratio but decreases soil organic carbon in Qinghai-Tibetan Plateau grasslands: A hierarchical meta-analysis[J]. Land Degradation & Development, 2020, 31: 2369-2378.
doi: 10.1002/ldr.v31.16 |
| [24] | Li M, Zhang X Z, Wu J S, et al. Declining human activity intensity on alpine grasslands of the Tibetan Plateau[J]. Journal of Environmental Management, 2021, 296: 113198, doi: 10.1016/j.jenvman.2021.113198. |
| [25] | Zhang J, Fang S B, Liu H H. Estimation of alpine grassland above-ground biomass and its response to climate on the Qinghai-Tibet Plateau during 2001 to 2019[J]. Global Ecology and Conservation, 2022, 35: e02065, doi: 10.1016/j.gecco.2022.e02065. |
| [26] | 陈巧娥, 周继华, 来利明, 等. 青藏高原植被时空分布变化特征及驱动因素[J]. 应用与环境生物学报, 2025, 31(3): 322-335. |
| [Chen Qiao’e, Zhou Jihua, Lai Liming, et al. Spatiotemporal distribution change of vegetation and driving factors on the Qinghai-Xizang Plateau[J]. Chinese Journal Applied and Environmental Biology, 2025, 31(3): 322-335.] | |
| [27] | 林伟山, 德科加, 向雪梅, 等. 青藏高原退化高寒草甸植被群落与土壤养分变化特征[J]. 草原与草坪, 2025, 45(2): 14-23. |
| [Lin Weishan, De Kejia, Xiang Xuemei, et al. Changes of vegetation community and soil nutrients in degraded alpine meadows on the Qinghai-Tibet Plateau[J]. Grassland and Turf, 2025, 45(2): 14-23.] | |
| [28] | 侯威. 青海湖流域生态环境地质条件与生态环境地质问题研究[D]. 北京: 中国地质大学, 2020. |
| [Hou Wei. Research on the geological condition of the ecological environment in Qinghai Lake area[D]. Beijing: China University of Geosciences, 2020.] | |
| [29] | 武彦朋, 陈克龙, 张斐, 等. 青海湖内陆高寒湿地物种多样性和地上生物量的关系[J]. 水土保持通报, 2011, 31(1): 76-80. |
| [Wu Yanpeng, Chen Kelong, Zhang Fei, et al. Relationship between species diversity and above-ground biomass of inland alpine wetlands of Qinghai Lake[J]. Bulletin of Soil and Water Conservation, 2011, 31(1): 76-80.] | |
| [30] |
胡樱, 王慧春, 李正科, 等. 青海湖流域沙地植物群落多样性研究[J]. 草地学报, 2022, 30(10): 2782-2790.
doi: 10.11733/j.issn.1007-0435.2022.10.029 |
|
[Hu Ying, Wang Huichun, Li Zhengke, et al. Plant community diversity in sandy land of Qinghai Lake Basin[J]. Acta Agrestia Sinica, 2022, 30(10): 2782-2790.]
doi: 10.11733/j.issn.1007-0435.2022.10.029 |
|
| [31] | 张莉, 郭龙欣, 张铭洋, 等. 青海湖高寒草原植被群落结构和水源涵养功能对禁牧封育的响应[J]. 西北植物学报, 2024, 44(9): 1488-1498. |
| [Zhang Li, Guo Longxin, Zhang Mingyang, et al. Response of plant community structure and soil water conservation function to forbidden grazing and enclosure in alpine steppe of the Qinghai Lake[J]. Acta Botanica Boreali-Occidentalia Sinica, 2024, 44(9): 1488-1498.] | |
| [32] |
蔡海, 史倩倩, 王婷, 等. 青海湖围栏封育下温性荒漠植被群落长期变化特征[J]. 草地学报, 2025, 33(3): 929-935.
doi: 10.11733/j.issn.1007-0435.2025.03.027 |
|
[Cai Hai, Shi Qianqian, Wang Ting, et al. Impact of fencing on the characteristics of the temperate desert vegetation community in the Qinghai Lake Basin[J]. Acta Agrestia Sinica, 2025, 33(3): 929-935.]
doi: 10.11733/j.issn.1007-0435.2025.03.027 |
|
| [33] |
李芳, 王广军, 杜海波, 等. 融合MODIS和Landsat数据的青海湖流域典型区NDVI重构与年内最大值变化分析[J]. 草业学报, 2023, 32(8): 28-39.
doi: 10.11686/cyxb2022385 |
|
[Li Fang, Wang Guangjun, Du Haibo, et al. Integrating MODIS and Landsat data to reconstruct the Landsat NDVI of a typical region in the Qinghai Lake Basin and changes in the intra-annual NDVI maximum[J]. Acta Prataculturae Sinica, 2023, 32(8): 28-39.]
doi: 10.11686/cyxb2022385 |
|
| [34] | 石建丽, 仲俊涛, 马勇洁. 青海湖流域草地植被与物种多样性空间分异研究[J]. 草原与草坪, 2024, 44(3): 19-25. |
| [Shi Jianli, Zhong Juntao, Ma Yongjie. Spatial differentiation of grassland vegetation and species diversity in Qinghai Lake Basin[J]. Grassland and Turf, 2024, 44(3): 19-25.] | |
| [35] |
Ma Y J, Li X Y, Liu L, et al. Evapotranspiration and its dominant controls along an elevation gradient in the Qinghai Lake watershed, northeast Qinghai-Tibet Plateau[J]. Journal of Hydrology, 2019, 575: 257-268.
doi: 10.1016/j.jhydrol.2019.05.019 |
| [36] | 刘玉萍, 周勇辉, 苏旭, 等. 青海湖区不同植被类型草原土壤养分分布特征[J]. 兰州大学学报(自然科学版), 2018, 54(4): 480-485, 493. |
| [Liu Yuping, Zhou Yonghui, Su Xu, et al. Differentiation characteristics of soil nutrients in steppe of different vegetation types in the zone of the Qinghai Lake[J]. Journal of Lanzhou University (Natural Sciences), 2018, 54(4): 480-485, 493.] | |
| [37] | 中华人民共和国农业部. 草地分类: NY/T 2997—2016[S]. 北京: 中国农业出版社, 2016. |
| [Ministry of Agriculture of the People’s Republic of China. Grassland classification: NY/T 2997—2016[S]. Beijing: China Agriculture Press, 2016.] | |
| [38] | 许伟林, 马思锦, 罗银飞, 等. 青海湖流域生态环境地质[M]. 武汉: 中国地质大学出版社, 2019: 114-123. |
| [Xu Weilin, Ma Sijin, Luo Yinfei, et al. Eco-environmental geology of Qinghai Lake Basin[M]. Wuhan: China University of Geosciences Press, 2019: 114-123.] | |
| [39] |
Scurlock J M O, Johnson K, Olson R J. Estimating net primary productivity from grassland biomass dynamics measurements[J]. Global Change Biology, 2002, 8(8): 736-753.
doi: 10.1046/j.1365-2486.2002.00512.x |
| [40] | 孙磊, 李斌奇, 刘萍, 等. 不同海拔高寒草甸地下生物量分配格局研究[J]. 高原农业, 2018, 2(6): 589-593, 617. |
| [Sun Lei, Li Binqi, Liu Ping, et al. Distribution pattern of underground biomass in alpine meadow with different altitudes[J]. Journal of Plateau Agriculture, 2018, 2(6): 589-593, 617.] | |
| [41] | 鲁如坤. 土壤农业化学分析方法[M]. 北京: 中国农业科技出版社, 2000: 9-10. |
| [Lu Rukun. Methods for soil agro-chemical analysis[M]. Beijing: China Agricultural Science and Technology Press, 2000: 9-10.] | |
| [42] | Dane J H, Topp G C. Methods of soil analysis. Part 4. Physical methods[M]. Madison: Soil Science Society of America, 2002: 201-228. |
| [43] | Buchholtz K P. The underground organs of herbage grasses[J]. Agronomy Journal, 1957, 49(9): 522-522. |
| [44] | 鲍士旦. 土壤农化分析(第3版)[M]. 北京: 中国农业出版社, 2000: 12-14. |
| [Bao Shidan. Soil agro-chemical analysis (3rd ed.)[M]. Beijing: China Agriculture Press, 2000: 12-14.] | |
| [45] |
Delucia E H, Drake J E, Thomas R B, et al. Forest carbon use efficiency: Is respiration a constant fraction of gross primary production?[J]. Global Change Biology, 2007, 13: 1157-1167.
doi: 10.1111/gcb.2007.13.issue-6 |
| [46] | 徐建华. 现代地理学中的数学方法(第3版)[M]. 北京: 高等教育出版社, 2017: 73-83. |
| [Xu Jianhua. Mathematical methods in contemporary geography (3rd ed.)[M]. Beijing: Higher Education Press, 2017: 73-83.] | |
| [47] | 张芊妤, 曾奕丰, 李文洁, 等. 季节放牧下青藏高原高寒草甸牧草生物量空间分布特征[J]. 草业科学, 2022, 39(2): 318-327. |
| [Zhang Qianyu, Zeng Yifeng, Li Wenjie, et al. Effects of seasonal grazing on spatial distribution characteristics of forage biomass in an alpine meadow on the Qinghai-Tibet Plateau[J]. Pratacultural Science, 2022, 39(2): 318-327.] | |
| [48] | 姚雨微, 任鸿瑞. 青藏高原草地地上生物量估算[J]. 生态学报, 2024, 44(7): 3049-3059. |
| [Yao Yuwei, Ren Hongrui. Estimation of grassland aboveground biomass on the Qinghai-Tibet Plateau[J]. Acta Ecologica Sinica, 2024, 44(7): 3049-3059.] | |
| [49] | Li P X, Zhu W Q, He B K. Regional differences in the impact paths of climate on aboveground biomass in alpine grasslands across the Qinghai-Tibet Plateau[J]. Science of the Total Environment, 2024, 947: 174421, doi: 10.1016/j.scitotenv.2024.174421. |
| [50] |
张双印, 赵保成, 赵登忠, 等. 长江源草地生物量空间分布及分配初步研究[J]. 长江科学院院报, 2024, 41(11): 196-202.
doi: 10.11988/ckyyb.20230479 |
|
[Zhang Shuangyin, Zhao Baocheng, Zhao Dengzhong, et al. Spatial distribution and allocation of grassland biomass in the headwaters of the Yangtze River[J]. Journal of Yangtze River Scientific Research Institute, 2024, 41(11): 196-202.]
doi: 10.11988/ckyyb.20230479 |
|
| [51] | Zhu X Y, Hou J H, Li M X, et al. High-resolution spatial distribution of vegetation biomass and its environmental response on Qinghai-Tibet Plateau: Intensive grid-field survey[J]. Ecological Indicators, 2023, 149: 110167, doi: 10.1016/j.ecolind.2023.110167. |
| [52] | 苟小林, 周青平, 涂卫国, 等. 高寒半湿润沙地土壤水分与根系生物量对植被恢复的响应[J]. 中国草地学报, 2022, 44(7): 53-60, 86. |
| [Gou Xiaolin, Zhou Qingping, Tu Weiguo, et al. Response of soil water content and root biomass to vegetation restoration in alpine semi-humid sandy land[J]. Chinese Journal of Grassland, 2022, 44(7): 53-60, 86.] | |
| [53] | 王采娥, 黄梅, 王文银, 等. 三江源区高寒坡地退化植物群落多样性和地上生物量沿海拔梯度的变化特征[J]. 生态学报, 2022, 42(9): 3640-3655. |
| [Wang Cai’e, Huang Mei, Wang Wenyin, et al. Variation characteristics of plant community diversity and above-ground biomass in alpine degraded slopes along altitude gradients in the headwaters region of three-river on Tibetan Plateau[J]. Acta Ecologica Sinica, 2022, 42(9): 3640-3655.] | |
| [54] | Ge J, Hou M J, Liang T G, et al. Spatiotemporal dynamics of grassland aboveground biomass and its driving factors in north China over the past 20 years[J]. Science of the Total Environment, 2022, 826: 154226, doi: 10.1016/j.scitotenv.2022.154226. |
| [55] |
Bai Y, Wu J, Pan Q, et al. Positive linear relationship between productivity and diversity: Evidence from the Eurasian steppe[J]. Journal of Applied Ecology, 2007, 44: 1023-1034.
doi: 10.1111/jpe.2007.44.issue-5 |
| [56] | Jarque-Bascuñana L, Calleja J A, Ibañez M, et al. Grazing influences biomass production and protein content of alpine meadows[J]. Science of the Total Environment, 2022, 818: 151771, doi: 10.1016/j.scitotenv.2021.151771. |
| [57] | 周美林, 刘家宏, 刘希胜, 等. 青海湖流域植被动态变化驱动力及空间粒度效应[J]. 中国环境科学, 2024, 44(3): 1497-1506. |
| [Zhou Meilin, Liu Jiahong, Liu Xisheng, et al. Analysis of driving forces and spatial scale effects on vegetation dynamics in the Qinghai Lake Basin[J]. China Environmental Science, 2024, 44(3): 1497-1506.] | |
| [58] |
张晓东, 马风华, 赵志鹏, 等. 宁夏中部荒漠草原防沙治沙区NDVI时空演化特征及其对气候因素的响应[J]. 干旱区地理, 2025, 48(10): 1804-1814.
doi: 10.12118/j.issn.1000-6060.2024.782 |
|
[Zhang Xiaodong, Ma Fenghua, Zhao Zhipeng, et al. Spatio-temporal evolution characteristics of NDVI and its response to climate factors of desertification prevention and control zone in the desert grasslands of central Ningxia[J]. Arid Land Geography, 2025, 48(10): 1804-1814.]
doi: 10.12118/j.issn.1000-6060.2024.782 |
|
| [59] | Zhou L Y, Hong Y, Li C H, et al. Responses of biomass allocation to multi-factor global change: A global synthesis[J]. Agriculture, Ecosystems & Environment, 2020, 304: 107115, doi: 10.1016/j.agee.2020.107115. |
| [60] | 杜志勇, 丛楠. 植被与土壤特征对青藏高原不同程度退化草地的响应[J]. 生态学报, 2024, 44(6): 2504-2516. |
| [Du Zhiyong, Cong Nan. Responses of vegetation and soil characterisitics to degraded grassland under different degrees on the Qinghai-Tibet Plateau[J]. Acta Ecologica Sinica, 2024, 44(6): 2504-2516.] | |
| [61] |
Liu H Y, Wang H, Li N, et al. Phenological mismatches between above-and belowground plant responses to climate warming[J]. Nature Climate Change, 2022, 12: 97-102.
doi: 10.1038/s41558-021-01244-x |
| [62] | Chen Y S, Zhang S H, Wang Y D. Spatial distribution patterns and drivers of above-and below-ground biomass in Chinese terrestrial ecosystems[J]. Science of the Total Environment, 2024, 944: 173922, doi: 10.1016/j.scitotenv.2024.173922. |
| [63] | Wei Y Q, Lu H Y, Wang J N, et al. Dual influence of climate change and anthropogenic activities on the spatiotemporal vegetation dynamics over the Qinghai-Tibetan Plateau from 1981 to 2015[J]. Earth’s Future, 2022, 10: e2021EF002566, doi: 10.1029/2021EF002566. |
| [64] | 武亚堂. 青藏高原草地生产能力模拟与时空格局研究[D]. 兰州: 甘肃农业大学, 2024. |
| [Wu Yatang. Simulation of grassland production capacity and study of spatiotemporal patterns in the Tibet[D]. Lanzhou: Gansu Agricultural University, 2024.] |
| [1] | YANG Di, ZOU Jin, MA Xiaofei, ZHANG Xun, ZHOU Rui, LIU Yanchun, SHI Jinlian. Spatial distribution characteristics and sustainable development of sports tourism resources: A case of Xinjiang [J]. Arid Land Geography, 2026, 49(1): 140-150. |
| [2] | ZHANG Shaohua, GUAN Hailing. Impact mechanism of innovative agglomeration spatial distribution patterns on urban economic resilience in China [J]. Arid Land Geography, 2025, 48(9): 1636-1647. |
| [3] | TIAN Zhifu, YU Yajuan, HUANG Chenyu. Spatial distribution characteristics and influencing factors of tourism elements in counties of Inner Mongolia based on POI data [J]. Arid Land Geography, 2025, 48(7): 1255-1266. |
| [4] | GUO Nianfa, WANG Lucang. Analysis of accessibility and influencing factors of kindergarten enrollment in the main urban area of Lanzhou City [J]. Arid Land Geography, 2025, 48(6): 1043-1054. |
| [5] | LI Ke, HE Jing, MENG Yangyang, LI Changrui. Spatial distribution and influencing factors of key rural tourism villages in the Yellow River Basin [J]. Arid Land Geography, 2025, 48(11): 2031-2041. |
| [6] | ZHU Lei, LI Yannan, XU Jiahui, HU Jing, ZHU Fang, LIANG Mangmang. Spatial distribution pattern and causes of ice and snow tourism in China [J]. Arid Land Geography, 2024, 47(8): 1399-1410. |
| [7] | CHEN Cong, TANG Ying, SHI Chengyong, DU Yifan, ZHAO Lina, JIANG Xuyan. Spatial distribution and regional cooperative conservation of heritage resources in the Yellow River Basin [J]. Arid Land Geography, 2024, 47(7): 1220-1232. |
| [8] | ZHANG Zhiming, SUN Xiaomei, BAO Duanhong, YAO Baohui, WANG Zhicheng, SU Junhu. Biomass and soil nutrient characteristics of five dominant plant species in the desert grassland of the northern foothills of the Qilian Mountains [J]. Arid Land Geography, 2024, 47(4): 662-671. |
| [9] | WANG Anqi, ZHANG Yu, LIU Jiawei, ZHAO Wei, LIU Xinyu, LI Kai. Vegetation community diversity and spatial distribution pattern in Ganjiahu Saxoul National Nature Reserve, Xinjiang [J]. Arid Land Geography, 2024, 47(11): 1841-1851. |
| [10] | JIANG Yuekun, SHI Pengjuan. Spatiotemporal evolution and its affecting factors of urban-rural income gap at the city-level scale in China [J]. Arid Land Geography, 2024, 47(1): 147-157. |
| [11] | HUANG Xin, JIAO Li, MA Xiaofei, WANG Yonghui, Aerman ABULA. Change characteristics of extreme precipitation events in Central Asia in recent 60 years based on RClimDex model [J]. Arid Land Geography, 2023, 46(7): 1039-1051. |
| [12] | KANG Ligang, CAO Shengkui, CAO Guangchao, YAN Li, CHEN Lianxuan, LI Wenbin, ZHAO Haoran. Spatiotemporal variation of land surface temperature in Qinghai Lake Basin [J]. Arid Land Geography, 2023, 46(7): 1084-1097. |
| [13] | PAN Xue, GUAN Yuqi, PAN Zhandong, LIU Jie, CAI Liqun, DONG Bo, DU Jian. Spatiotemporal variation and evaluation of cultivated land quality grade in arid areas: A case of Xining City [J]. Arid Land Geography, 2023, 46(5): 793-803. |
| [14] | DING Hua,LIAO Wenqiang,DUAN Fenghao,YANG Wangtun. Characteristics, spatial distribution and formation mechanism of Danxia landform in Shaanxi Province [J]. Arid Land Geography, 2023, 46(4): 527-538. |
| [15] | LU Xiongying, LIU Xiande, MA Rui, ZHAO Weijun, JING Wenmao, HE Xiaoling, ZHAO Changxing. Response of Picea crassifolia forest regeneration characteristics to topographic factors in Pailugou watershed of Qilian Mountains [J]. Arid Land Geography, 2023, 46(4): 604-613. |
|
||
