干旱区地理 ›› 2026, Vol. 49 ›› Issue (3): 508-520.doi: 10.12118/j.issn.1000-6060.2025.407 cstr: 32274.14.ALG2025407
收稿日期:2025-07-15
修回日期:2025-10-08
出版日期:2026-03-25
发布日期:2026-03-24
通讯作者:
胥帅(2000-),男,硕士研究生,主要从事地质灾害评价研究. E-mail: yedongzhi1972@163.com作者简介:苏培东(1973-),男,博士,教授,主要从事地质灾害研究. E-mail: spdong@126.com
基金资助:
XU Shuai(
), SU Peidong(
), QIU Peng
Received:2025-07-15
Revised:2025-10-08
Published:2026-03-25
Online:2026-03-24
摘要:
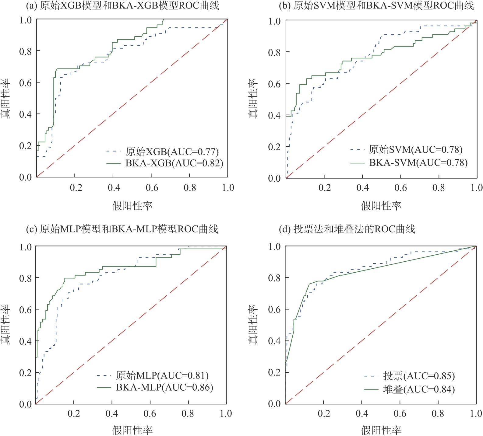
在全球变暖背景下,区域冰川退缩显著,冰湖持续扩张,冰湖溃决易发性不断变化,严重威胁区域公众生命财产安全。影响冰湖溃决的因素众多且相互作用复杂,使得区域冰湖溃决预测面临重大挑战。以西藏半干旱区波曲流域为例,基于统计分析确定影响冰湖溃决的关键指标,结合第六次国际耦合模式比较计划(CMIP6)数据预测流域冰湖溃决易发性。结果表明:(1)2024年波曲流域内共存在143个冰湖,其中约有50%冰湖面积减小,29%冰湖面积增大,面积扩张的冰湖以冰碛湖为主。(2)基于差异性显著的多层感知机(MLP)、支持向量机(SVM)、极限梯度提升(XGB)模型建立区域冰湖溃决易发性评价模型,评价准确率在67%~79%之间。(3)引入黑翅鸢(BKA)优化算法,训练生成BKA-MLP、BKA-SVM、BKA-XGB基模型,以基模型的预测结果作为元模型训练集,并依此优化元模型建立堆叠模型,优化后传统机器学习模型准确率提升至79%~82%,堆叠模型准确率提升至83.03%,成功率曲线下面积(AUC值)提升至0.84。(4)堆叠模型易发性预测表明,在不同模式不同情景下,冰湖溃决概率呈波动上升趋势,高易溃冰湖集中分布于冲堆普、科亚普、如甲普和章藏布沟内。该研究成果可为科学应对气候变化下的冰湖溃决灾害提供参考。
胥帅, 苏培东, 邱鹏. 气候变化下波曲流域冰湖溃决易发性评价[J]. 干旱区地理, 2026, 49(3): 508-520.
XU Shuai, SU Peidong, QIU Peng. Assessment of glacial lake outburst flood susceptibility in the Poiqu River Basin under climate change[J]. Arid Land Geography, 2026, 49(3): 508-520.
表1
冰湖评价指标使用次数统计"
| 分类 | 指标 | 次数 | 获取难 易程度 |
|---|---|---|---|
| 冰湖参数 | 冰湖类型 | 1[ | 易[ |
| 冰湖面积 | 10[ | 易[ | |
| 冰湖扩张速率 | 2[ | 易[ | |
| 坝体参数 | 冰碛坝背水坡度 | 3[ | 难[ |
| 冰碛坝顶宽 | 7[ | 易[ | |
| 湖水面距坝顶高度与坝高之比 | 2[ | 难[ | |
| 湖周环境参数 | 冰舌坡度 | 7[ | 易[ |
| 冰川坡度 | 2[ | 难[ | |
| 冰湖冰川距离 | 6[ | 易[ | |
| 母冰川面积 | 6[ | 易[ | |
| 崩塌入湖可能性 | 2[ | 难[ |
| [1] |
Evans S G, Clague J J. A review of catastrophic drainage of moraine-dammed lakes in British Columbia[J]. Quaternary Science Reviews, 2000, 19(17-18): 1763-1783.
doi: 10.1016/S0277-3791(00)00090-1 |
| [2] |
Khanal N R, Mool P K, Shrestha A B, et al. A comprehensive approach and methods for glacial lake outburst flood risk assessment, with examples from Nepal and the transboundary area[J]. International Journal of Water Resources Development, 2015, 31(2): 219-237.
doi: 10.1080/07900627.2014.994116 |
| [3] | 柴波, 陶阳阳, 杜娟, 等. 西藏聂拉木县嘉龙湖冰湖溃决型泥石流危险性评价[J]. 地球科学, 2020, 45(12): 4630-4639. |
| [Chai Bo, Tao Yangyang, Du Juan, et al. Hazard assessment of debris flow triggered by outburst of Jialong glacial lake in Nyalam County, Tibet[J]. Earth Science, 2020, 45(12): 4630-4639.] | |
| [4] | 刘建康, 程尊兰, 郭芬芬, 等. 藏东南典型冰湖溃决危险性分析[J] 灾害学, 2011, 26(2): 45-49. |
| [Liu Jiankang, Cheng Zunlan, Guo Fenfen, et al. Analysis on risk of glacier-lake outburst in southeastern Xizang[J]. Journal of Catastrophology, 2011, 26(2): 45-49.] | |
| [5] | Zhang S H, Nie Y, Zhang H Y. Glacial lake changes and risk assessment in Rongxer Watershed of China-Nepal economic corridor[J]. Remote Sensing, 2024, 16(4): 725, doi: 10.3390/rs16040725. |
| [6] | Rounce D R, Mckinney D C, Lala J M, et al. A new remote hazard and risk assessment framework for glacial lakes in the Nepal Himalaya[J]. Hydrology & Earth System Sciences, 2016, 20(9): 3455-3475. |
| [7] |
He X Q, Wang Z F, Wang C W, et al. A method for estimating the probability of glacial lake outburst floods based on logistic regression and geodetector: A case study of the Himalayan region[J]. Earth Science Informatics, 2022, 15(1): 649-658.
doi: 10.1007/s12145-021-00738-8 |
| [8] | Yu B, He Y X, Ye P. Quantitative susceptibility assessment of the breach of moraine-dammed lakes due to glacier avalanches[J]. Cold Regions Science & Technology, 2023, 206: 103749, doi: 10.1016/j.coldregions.2022.103749. |
| [9] | 周路旭, 刘建康, 陈龙. 藏东南交通干线(林芝段)冰湖溃决危险性分析与评价[J]. 自然灾害学报, 2020, 29(3): 162-172. |
| [Zhou Luxu, Liu Jiankang, Chen Long. Risk analysis and evaluation of glacier lake outburst in traffic route of southeast Xizang (Linzhi)[J]. Journal of Natural Disasters, 2020, 29(3): 162-172.] | |
| [10] | Chen L, Fan X M, Xiong J L, et al. Hazard assessment of glacial lake outbursts in the Doyinongba Basin, southeastern Tibetan Plateau[J]. Bulletin of Geological Science and Technology, 2023, 42(2): 258-266. |
| [11] |
刘建康, 张佳佳, 高波, 等. 我国西藏地区冰湖溃决灾害综述[J]. 冰川冻土, 2019, 41(6): 1335-1347.
doi: 10.7522/j.issn.1000-0240.2019.0073 |
|
[Liu Jiankang, Zhang Jiajia, Gao Bo, et al. An overview of glacial lake outburst flood in Xizang, China[J]. Journal of Glaciology and Geocryology, 2019, 41(6): 1335-1347.]
doi: 10.7522/j.issn.1000-0240.2019.0073 |
|
| [12] | 党超. 藏东南冰湖溃决泥石流形成机制[D]. 北京: 中国科学院, 2009. |
| [Dang Chao. The mechanics of debris flows resulting from glacier lake outburst floods in southeast Xizang[D]. Beijing: Chinese Academy of Sciences, 2009.] | |
| [13] | 贾洋, 崔鹏. 西藏冰湖溃决灾害事件极端气候特征[J]. 气候变化研究进展, 2020, 16(4): 395-404. |
| [Jia Yang, Cui Peng. The extreme climate background for glacial lakes outburst flood events in Tibet[J]. Climate Change Research, 2020, 16(4): 395-404.] | |
| [14] |
王芳, 张晋韬. 《巴黎协定》排放情景下中亚地区降水变化响应[J]. 地理学报, 2020, 75(1): 25-40.
doi: 10.11821/dlxb202001003 |
|
[Wang Fang, Zhang Jintao. Response of precipitation change in central Asia to emission scenarios consistent with the Paris Agreement[J]. Acta Geographica Sinica, 2020, 75(1): 25-40.]
doi: 10.11821/dlxb202001003 |
|
| [15] |
王小丽, 周凌翔, 王秀东, 等. 1990—2020年波曲流域冰川冰湖时空变化及其对气候变化的响应[J]. 干旱区地理, 2024, 47(5): 810-819.
doi: 10.12118/j.issn.1000-6060.2023.519 |
|
[Wang Xiaoli, Zhou Lingxiang, Wang Xiudong, et al. Temporal and spatial changes of glaciers and glacier lakes and itsresponse to climate change in Poiqu Basin during 1990—2020[J]. Arid Land Geography, 2024, 47(5): 810-819.]
doi: 10.12118/j.issn.1000-6060.2023.519 |
|
| [16] |
Lin Q G, Wang Y, Glade T, et al. Assessing the spatiotemporal impact of climate change on event rainfall characteristics influencing landslide occurrences based on multiple GCM projections in China[J]. Climatic Change, 2020, 162(2): 761-779.
doi: 10.1007/s10584-020-02750-1 |
| [17] |
陈世泷, 孟庆凯, 戴勇, 等. 基于CMIP6未来情景的伊犁河流域地质灾害危险性评估预测[J]. 干旱区地理, 2025, 48(4): 599-611.
doi: 10.12118/j.issn.1000-6060.2024.520 |
|
[Chen Shilong, Meng Qingkai, Dai Yong, et al. Geological disaster hazard assessment and prediction in the Ili River Basin based on CMlP6 future scenarios[J]. Arid Land Geography, 2025, 48(4): 599-611.]
doi: 10.12118/j.issn.1000-6060.2024.520 |
|
| [18] | 王霞, 王瑛, 林齐根, 等. 气候变化背景下中国滑坡灾害人口风险评估[J]. 气候变化研究进展, 2022, 18(2): 166-176. |
| [Wang Xia, Wang Ying, Lin Qigen, et al. Projection of China landslide disasters population risk under climate change[J]. Climate Change Research, 2022, 18(2): 166-176.] | |
| [19] | 李海, 杨成生, 惠文华, 等. 基于遥感技术的高山极高山区冰川冰湖变化动态监测——以西藏藏南希夏邦玛峰地区为例[J]. 中国地质灾害与防治学报, 2021, 32(5): 10-17. |
| [Li Hai, Yang Chengsheng, Hui Wenhua, et al. Changes of glaciers and glacier lakes in alpine and extremely alpineregions using remote sensing technology: A case study in the Shisha Pangma area of southern Tibet[J]. The Chinese Journal of Geological Hazard and Control, 2021, 32(5): 10-17.] | |
| [20] | Zhang T G, Wang W C, Gao T G, et al. An integrative method for identifying potentially dangerous glacial lakes in the Himalayas[J]. Science of the Total Environment, 2022, 806(1): 150442, doi: 10.1016/j.scitotenv.2021.150442. |
| [21] | 朱登新, 涂杰楠, 孙海冰, 等. 基于多源卫星数据亚东河流域冰湖溃决灾害危险性分析[J]. 自然资源遥感, 2025, 37(2): 96-107. |
| [Zhu Dengxin, Tu Jienan, Sun Haibing, et al. Hazard assessment of potential glacial lake outburst floods in the Yadong River Basin based on multisource satellite data[J]. Remote Sensing for Natural Resources, 2025, 37(2): 96-107.] | |
| [22] | Das C, Sarmah D J, Mamata D, et al. Assessing future glacial lake formation and GLOFs susceptibility in the Mago Watershed, Arunachal Pradesh, India[J]. Journal of Earth System Science, 2025, 134(2): 111, doi: 10.1007/s12040-025-02561-x. |
| [23] | Das S, Das S, Mandal S T, et al. Inventory and GLOF susceptibility of glacial lakes in Chenab Basin, western Himalaya[J]. Geomatics, Natural Hazards and Risk, 2024, 15(1): 2356216, doi: 10.1080/19475705.2024.2356216. |
| [24] | Peng M, Zhang G Q, Yu J Y, et al. Potential threats of glacial lake changes to the Sichuan-Tibet railway[J]. Journal of Glaciology, 2024, 70: 1-16. |
| [25] | 汪宙峰, 贺相綦, 王成武. 基于地理探测器与SVM的冰湖溃决预测研究 ——以喜马拉雅山地区为例[J]. 自然灾害学报, 2022, 31(6): 220-228. |
| [Wang Zhoufeng, He Xiangqi, Wang Chengwu. Prediction of glacial lake outburst floods based on geodetector and SVM: A case study of the Himalayan region[J]. Journal of Natural Disasters, 2022, 31(6): 220-228.] | |
| [26] | 乐茂华, 唐川, 张丹丹, 等. 基于逻辑回归法的西藏地区冰湖溃决危险性预测模型[J]. 自然灾害学报, 2014, 23(5): 177-184. |
| [Le Maohua, Tang Chuan, Zhang Dandan, et al. Logistic regression model-based approach for predicting the hazard of glacial lake outburst in Xizang[J]. Journal of Natural Disasters, 2014, 23(5): 177-184.] | |
| [27] | 汤明高, 陈浩文, 赵欢乐, 等. 青藏高原冰湖溃决灾害隐患识别、发育规律及危险性评价[J]. 地质通报, 2023, 42(5): 730-742. |
| [Tang Minggao, Chen Haowen, Zhao Huanle, et al. Identification, development law and risk assessment of the hidden dangers of glacial lake outburst disasters on the Qinghai-Tibet Plateau[J]. Geological Bulletin of China, 2023, 42(5): 730-742.] | |
| [28] |
汪宙峰, 张廷山, 王成武. 西藏喜马拉雅山地区冰湖溃决的预测模型及其应用研究[J]. 冰川冻土, 2016, 38(2): 388-394.
doi: 10.7522/j.issn.1000-0240.2016.0042 |
|
[Wang Zhoufeng, Zhang Tingshan, Wang Chengwu. Prediction model and its application for glacial lake outburst in the Himalayas area, Tibet[J]. Journal of Glaciology and Geocryology, 2016, 38(2): 388-394.]
doi: 10.7522/j.issn.1000-0240.2016.0042 |
|
| [29] | 位宏, 徐丽萍, 张正勇, 等. 新疆冰湖溃决灾害风险评价与预警[J]. 科学技术与工程, 2018, 18(29): 13-19. |
| [Wei Hong, Xu Liping, Zhang Zhengyong, et al. Evaluation and early warning of Xinjiang glacial lake outburst disaster risk[J]. Science Technology and Engineering, 2018, 18(29): 13-19.] | |
| [30] | Rinzin S, Zhang G Q, Sattar A, et al. GLOF hazard, exposure, vulnerability, and risk assessment of potentially dangerous glacial lakes in the Bhutan Himalaya[J]. Journal of Hydrology, 2023, 619: 129311, doi: 10.1016/j.jhydrol.2023.129311. |
| [31] |
Zhou B, Zou Q, Hu J, et al. Process-driven susceptibility assessment of glacial lake outburst debris flow in the Himalayas under climate change[J]. Advances in Climate Change Research, 2024, 15(3): 500-514.
doi: 10.1016/j.accre.2023.11.002 |
| [32] | Zeng X Z, Shahzeb M, Cheng X, et al. An enhanced gas sensor data classification method using principal component analysis and synthetic minority over-sampling technique algorithms[J]. Micromachines, 2024, 15(12): 1501, doi: 10.3390/mi15121501. |
| [33] | Husain G, Nasef D, Jose R, et al. SMOTE vs. SMOTEENN: A study on the performance of resampling algorithms for addressing class imbalance in regression models[J]. Algorithms, 2025, 18(1): 37, doi: 10.3390/a18010037. |
| [34] | Yang Q Y, Wang X M, Yin J, et al. A novel CGBoost deep learning algorithm for coseismic landslide susceptibility prediction[J]. Geoscience Frontiers, 2024, 15(2): 349-365. |
| [35] | Conciatori M, Valletta A, Segalini A. Improving the quality evaluation process of machine learning algorithms applied to landslide time series analysis[J]. Computers & Geosciences, 2024, 184: 105531, doi: 10.1016/j.cageo.2024.105531. |
| [36] |
Liu S L, Wang L Q, Zhang W G, et al. Physics-informed optimization for a data-driven approach in landslide susceptibility evaluation[J]. Journal of Rock Mechanics and Geotechnical Engineering, 2024, 16(8): 3192-3205.
doi: 10.1016/j.jrmge.2023.11.039 |
| [37] | Qing F, Zhao Y, Meng X M, et al. Application of machine learning to debris flow susceptibility mapping along the China-Pakistan Karakoram highway[J]. Remote Sensing, 2020, 12(18): 2933, doi: 10.3390/rs12182933. |
| [38] |
Zhang A, Zhao X W, Zhao X Y, et al. Comparative study of different machine learning models in landslide susceptibility assessment: A case study of Conghua District, Guangzhou, China[J]. China Geology, 2024, 7(1): 104-115.
doi: 10.31035/cg2023056 |
| [39] | Pyakurel A, Dahal B K, Gautam D. Does machine learning adequately predict earthquake induced landslides[J]. Soil Dynamics and Earthquake Engineering, 2023, 171: 107994, doi: 10.1016/j.soildyn.2023.107994. |
| [40] | Najjar A, Husam A H, Pradhan B, et al. Landslide susceptibility modeling: An integrated novel method based on machine learning feature transformation[J]. Remote Sensing, 2021, 13(16): 3281, doi: 10.3390/rs13163281. |
| [41] | 张威, 胡舫瑞, 綦巍, 等. 基于XGBoost 和云模型的地质灾害易发性评价[J]. 中国地质灾害与防治学报, 2023, 34(6): 136-145. |
| [Zhang Wei, Hu Fangrui, Qi Wei, et al. Susceptibility assessment of geological hazard based on XGBoost and cloud model[J]. The Chinese Journal of Geological Hazard and Control, 2023, 34(6): 136-145.] | |
| [42] | 马祥龙, 文海家, 张廷斌, 等. 自动可解释机器学习滑坡易发性评价模型[J]. 北京师范大学学报(自然科学版), 2024, 60(6): 806-818. |
| [Ma Xianglong, Wen Haijia, Zhang Tingbin, et al. An automated and explainable machine learning model for landslide susceptibility mapping[J]. Journal of Beijing Normal University(Natural Science Edition), 2024, 60(6): 806-818.] | |
| [43] |
Chang Z L, Catani F, Huang F M, et al. Landslide susceptibility prediction using slope unit-based machine learning models considering the heterogeneity of conditioning factors[J]. Journal of Rock Mechanics and Geotechnical Engineering, 2023, 15(5): 1127-1143.
doi: 10.1016/j.jrmge.2022.07.009 |
| [44] | 李坤, 赵俊三, 林伊琳, 等. 基于RF和SVM模型的东川泥石流易发性评价研究[J]. 云南大学学报(自然科学版), 2022, 44(1): 107-115. |
| [Li Kun, Zhao Junsan, Lin Yilin, et al. Assessment of debris flow susceptibility in Dongchuan based on RF and SVM models[J]. Journal of Yunnan University (Natural Sciences Edition), 2022, 44(1): 107-115.] | |
| [45] | 王新伟, 张漓黎, 莫德科, 等. 基于信息量和多层感知机分类器模型耦合的平果市斜坡类地质灾害易发性评价[J]. 中国岩溶, 2023, 42(2): 370-381. |
| [Wang Xinwei, Zhang Lili, Mo Deke, et al. Hillslope geo-hazard susceptibility assessment in Pingguo City based on coupling of CF information value and MLPC classifier model[J]. Carsologica Sinica, 2023, 42(2): 370-381.] | |
| [46] | 薛永安, 王玉洁, 朱婧聪, 等. 基于CF与SVM的小样本斜坡地质灾害敏感性评价研究[J]. 太原理工大学学报, 2022, 53(4): 672-681. |
| [Xue Yongan, Wang Yujie, Zhu Jingcong, et al. Study of slope geological hazard susceptibility valuation with small sample based on CF and SVM[J]. Journal of Taiyuan University of Technology, 2022, 53(4): 672-681.] | |
| [47] |
丁茜, 赵晓东, 吴鑫俊, 等. 基于RBF核的多分类SVM滑塌易发性评价模型[J]. 中国安全科学学报, 2022, 32(3): 194-200.
doi: 10.16265/j.cnki.issn1003-3033.2022.03.026 |
|
[Ding Qian, Zhao Xiaodong, Wu Xinjun, et al. Landslide susceptibility assessment model based on multi-class SVM with RBF kernel[J]. China Safety Science Journal, 2022, 32(3): 194-200.]
doi: 10.16265/j.cnki.issn1003-3033.2022.03.026 |
|
| [48] | 邵大江, 叶辉, 王金亮, 等. 基于机器学习均值化的地质灾害易发性评价[J]. 云南大学学报(自然科学版), 2023, 45(3): 653-665. |
| [Shao Dajiang, Ye Hui, Wang Jinliang, et al. Evaluation of the susceptibility of geological disasters based on machine learning averaging[J]. Journal of Yunnan University (Natural Sciences Edition), 2023, 45(3): 653-665.] | |
| [49] | Wang J, Wang W C, Hu X X, et al. Black-winged kite algorithm: A nature-inspired meta-heuristic for solving benchmark functions and engineering problems[J]. Artificial Intelligence Review, 2024, 57(4): 98, doi: 10.1007/s10462-024-10723-4. |
| [50] | Yu L B, Wang Y, Pradhan B. Enhancing landslide susceptibility mapping incorporating landslide typology via stacking ensemble machine learning in Three Gorges Reservoir, China[J]. Geoscience Frontiers, 2024, 15(4): 81-99. |
| [51] | Pham B T, Phong T V, Avand M, et al. Improving voting feature intervals for spatial prediction of landslides[J]. Mathematical Problems in Engineering, 2020, 2020(1): 1-15. |
| [52] |
Liu Y X, Su P D, Qiu P, et al. Research on gas tunnel prediction in central Sichuan using energy valley optimizer and support vector machine[J]. Bulletin of Engineering Geology and the Environment, 2025, 84(1): 1-18.
doi: 10.1007/s10064-024-04024-x |
| [53] | Allen S K, Allen S K, Sattar A, et al. Glacial lake outburst flood hazard under current and future conditions: Worst-case scenarios in a transboundary Himalayan Basin[J]. Natural Hazards and Earth System Sciences, 2022, 22(11): 3765-3785. |
| [54] | Gouli M R, Hu K H, Khadka N, et al. Quantitative assessment of the GLOF risk along China-Nepal transboundary basins by integrating remote sensing, machine learning, and hydrodynamic model[J]. International Journal of Disaster Risk Reduction, 2025, 118: 105231, doi: 10.1016/j.ijdrr.2025.105231. |
| [55] |
Drenkhan F, Huggel C, Guardamino L, et al. Managing risks and future options from new lakes in the deglaciating Andes of Peru: The example of the Vilcanota-UrubambaBasin[J]. Science of the Total Environment, 2019, 665: 465-483.
doi: 10.1016/j.scitotenv.2019.02.070 |
| [56] |
Allen S K, Zhang G Q, Wang W C, et al. Potentially dangerous glacial lakes across the Tibetan Plateau revealed using a large-scale automated assessment approach[J]. Science Bulletin, 2019, 64(7): 435-445.
doi: 10.1016/j.scib.2019.03.011 pmid: 36659793 |
| [57] |
Shrestha F, Steiner J F, Steiner J F, et al. A comprehensive and version-controlled database of glacial lake outburst floods in High Mountain Asia[J]. Earth System Science Data, 2023, 15(9): 3941-3961.
doi: 10.5194/essd-15-3941-2023 |
| [58] | Zhou B, Zou Q, Jiang H, et al. A novel framework for predicting glacial lake outburst debris flows in the Himalayas amidst climate change[J]. Science of the Total Environment, 2024, 946: 174435, doi: 10.1016/j.scitotenv.2024.174435. |
| [59] |
Wang W C, Yang G, Iribarren A P, et al. Integrated hazard assessment of Cirenmaco glacial lake in Zhangzangbo valley, central Himalayas[J]. Geomorphology, 2018, 306: 292-305.
doi: 10.1016/j.geomorph.2015.08.013 |
| [60] |
Cook K L, Andermann C, Gimbert F, et al. Glacial lake outburst floods as drivers of fluvial erosion in the Himalaya[J]. Science, 2018, 362(6410): 53-57.
doi: 10.1126/science.aat4981 pmid: 30287655 |
| [1] | 余瀚, 孟志华, 王静爱. 甘肃省自然灾害社会脆弱性评价与综合区划[J]. 干旱区地理, 2025, 48(8): 1421-1431. |
| [2] | 刘京会, 袁旭山, 李艳敏, 李鑫旭. 基于CMIP6的伊犁河流域极端降水时空特征分析研究[J]. 干旱区地理, 2025, 48(8): 1329-1341. |
| [3] | 陈世泷, 孟庆凯, 戴勇, 杨立强, 吴晗. 基于CMIP6未来情景的伊犁河流域地质灾害危险性评估预测[J]. 干旱区地理, 2025, 48(4): 599-611. |
| [4] | 杨扬, 常伟, 张兴东. 新疆极端气温冷(暖)指数历史变化及未来情景预估[J]. 干旱区地理, 2025, 48(10): 1747-1759. |
| [5] | 王小丽, 周凌翔, 王秀东, 何颖. 1990—2020年波曲流域冰川冰湖时空变化及其对气候变化的响应[J]. 干旱区地理, 2024, 47(5): 810-819. |
| [6] | 向燕芸, 王弋, 陈亚宁, 张齐飞, 张玉杰. 基于CMIP6模式的叶尔羌河流域未来水文干旱风险预估[J]. 干旱区地理, 2024, 47(5): 798-809. |
| [7] | 卢冬燕, 朱秀芳, 唐明秀, 郭春华, 刘婷婷. 不同温升情景下中国旱灾风险变化评估[J]. 干旱区地理, 2024, 47(3): 369-379. |
| [8] | 卢冬燕, 朱秀芳, 刘婷婷, 张世喆. 2 ℃温升情景下中国气象干旱特征变化[J]. 干旱区地理, 2023, 46(8): 1227-1237. |
| [9] | 蒋磊, 刘小龙, 郭帅, 何亮, 邢建磊, 郭俊杰. 基于Logistic回归分析的土壤盐渍化易发性评价——以新疆南疆塔里木灌区为例[J]. 干旱区地理, 2023, 46(11): 1858-1867. |
| [10] | 赵亮, 何凡能, 杨帆 . 灾区恢复重建后效评估研究进展[J]. 干旱区地理, 2020, 43(5): 1337-1347. |
| [11] | 焦方谦,赵新生,陈川. 证据权模型在泥石流灾害易发性评价中的应用[J]. 干旱区地理, 2013, 36(6): 1111-1124. |
| [12] | 赵兴有. 伊犁地区地貌基本特征与农业生产的关系[J]. 干旱区地理, 2000, 23(3): 233-238. |
| [13] | 王志超, 陈亚宁, 乔木. 天山阿拉沟泥石流形成的地质地貌条件分析[J]. 干旱区地理, 1991, 14(S1): 15-21. |
|
||
